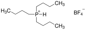
Tributylphosphine tetrafluoroborate

CAS Number113978-91-9
Formula[CH3(CH2)3]3P · HBF4
Mol. Weight290.13 g/mol
Tributylphosphine tetrafluoroborate
What is Tributylphosphine tetrafluoroborate?
Tributylphosphine tetrafluoroborate is a chemical compound with CAS number 113978-91-9 and molecular formula [CH3(CH2)3]3P · HBF4. It is used in various industrial and research applications.
Specifications
Linear Formula
[CH3(CH2)3]3P · HBF4
Molecular Weight
290.13 g/mol
Assay/Purity
97%
