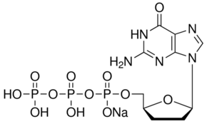
2′,3′-Dideoxyguanosine 5′-triphosphate sodium salt solution

CAS Number1135689-76-7
FormulaN/A
Mol. Weight513.16 g/mol
2′,3′-Dideoxyguanosine 5′-triphosphate sodium salt solution
What is 2′,3′-Dideoxyguanosine 5′-triphosphate sodium salt solution?
2′,3′-Dideoxyguanosine 5′-triphosphate sodium salt solution is a chemical compound with CAS number 1135689-76-7. It is used in various industrial and research applications.
Specifications
Molecular Weight
513.16 g/mol
Grade
for MALDI MS
Assay/Purity
≥98.0% (HPLC)
Impurities
≤1.5% ddNDP (HPLC)
Packaging
pkg of 1 μmol
Frequently Asked Questions
Alternative Names & Synonyms
C10H15N5NaO12P3
