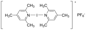
Bis(2,4,6-trimethylpyridine)iodine(I) hexafluorophosphate

CAS Number113119-46-3
FormulaN/A
Mol. Weight514.23 g/mol
Bis(2,4,6-trimethylpyridine)iodine(I) hexafluorophosphate
What is Bis(2,4,6-trimethylpyridine)iodine(I) hexafluorophosphate?
Bis(2,4,6-trimethylpyridine)iodine(I) hexafluorophosphate is a chemical compound with CAS number 113119-46-3. It is used in various industrial and research applications.
Specifications
Molecular Weight
514.23 g/mol
Assay/Purity
97%
Safety Information
GHS07
GHS08Signal Word
Danger
Hazard Statements
H315-H317-H319-H335-H360
Precautionary Statements
P201-P261-P280-P305 + P351 + P338-P308 + P313
Required PPE
Eyeshields, Faceshields, Gloves, type P2 (EN 143) respirator cartridges
Melting Point
124-126 °C (dec.)(lit.)
WGK Germany
3
Frequently Asked Questions
Alternative Names & Synonyms
113119-46-3, C16H22F6IN2P
