Oleylamine

CAS Number112-90-3
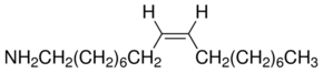
FormulaCH3(CH2)7CH=CH(CH2)7CH2NH2
Mol. Weight267.49 g/mol
Oleylamine
What is Oleylamine?
Oleylamine is a chemical compound with CAS number 112-90-3 and molecular formula CH3(CH2)7CH=CH(CH2)7CH2NH2. It is used in various industrial and research applications.
Specifications
Linear Formula
CH3(CH2)7CH=CH(CH2)7CH2NH2
Molecular Weight
267.49 g/mol
Assay/Purity
≥70% (GC)
~97% (NT)
Boiling Point
348-350 °C(lit.)
Density
0.813 g/mL at 25 °C(lit.)
Safety Information
GHS05
GHS09Signal Word
Danger
Hazard Statements
H314-H400
Precautionary Statements
P273-P280-P305 + P351 + P338-P310
Required PPE
Eyeshields, Faceshields, full-face particle respirator type N100 (US), Gloves, respirator cartridge type N100 (US), type P1 (EN143) respirator filter, type P3 (EN 143) respirator cartridges
Melting Point
18-26 °C(lit.)
EC Number
204-015-5
WGK Germany
3
