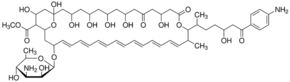
Mepartricin

CAS Number11121-32-7
FormulaN/A
Mepartricin
What is Mepartricin?
Mepartricin is a chemical compound with CAS number 11121-32-7. It is used in various industrial and research applications.
Applications
Mepartricin is a polyene antibacterial with antifungal and antiprotozoal activity. It is an Amphotericin B(AmB) analogue and has been used to study scrapie1. It is used as an antibiotic supplement in cell culture2.
