Tunicamycin from Streptomyces sp.

Tunicamycin from Streptomyces sp.
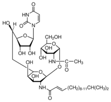
What is Tunicamycin from Streptomyces sp.?
Tunicamycin from Streptomyces sp. is a chemical compound with CAS number 11089-65-9. It is used in various industrial and research applications.
Applications
Tunicamycin has been used to study the effect of N-linked glycosylation of human proton-coupled folate transporter (HsPCFT) in HeLa cells1. Tunicamycin has also been used to study the functional effects of coxsackievirus and adenovirus receptor (CAR) glycosylation in COS-7 cells2.
Specifications
methanol: soluble4.9-5.1 mg/mL, clear to slightly hazy, colorless to yellow
methanol: soluble4.9-5.1 mg/mL
95% ethanol: soluble1 mg/mL, clear to faintly hazy
THF: soluble <1 mg/mL
dioxane: soluble <1 mg/mL
DMF: soluble >10 mg/mL
DMSO: soluble10 mg/mL, clear
pyridine: >10 mg/mL
acetone: insoluble
aqueous base: insoluble
chloroform: insoluble
ethyl acetate: insoluble
Safety Information
GHS06Danger
H300
P264-P301 + P310
Eyeshields, Faceshields, full-face particle respirator type N100 (US), Gloves, respirator cartridge type N100 (US), type P1 (EN143) respirator filter, type P3 (EN 143) respirator cartridges
3
