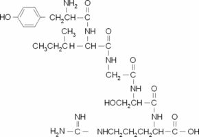
Tyr-Ile-Gly-Ser-Arg

CAS Number110590-64-2
FormulaC26H42N8O8
Mol. Weight594.66 g/mol
Tyr-Ile-Gly-Ser-Arg
What is Tyr-Ile-Gly-Ser-Arg?
Tyr-Ile-Gly-Ser-Arg is a chemical compound with CAS number 110590-64-2 and molecular formula C26H42N8O8. It is used in various industrial and research applications.
Applications
Tyr-Ile-Gly-Ser-Arg (YIGSR) can be used at the interface between the conjugated polymer and the tissue for the engineering of tissue interface. The product can also be used to study the role of integrins β1, α6, and α3 in promoting type II epithelial differentiation during lung maturation in the fetus.1
Specifications
Molecular Weight
594.66 g/mol
Assay/Purity
≥97% (HPLC)
Solubility
H2O: soluble1 mg/mL, clear, colorless
