Digitonin

Digitonin
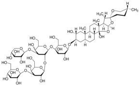
What is Digitonin?
Digitonin is a chemical compound with CAS number 11024-24-1 and molecular formula C56H92O29. It is used in various industrial and research applications.
Applications
Digitonin has been used in a study to assess a procedure for isolating mitochondria from ascites tumor cells. 1 It has also been used in a study to investigate its effect on the cytotoxicity of plant secondary metabolites in cancer cells. 2 This mild nonionic detergent can be used to solubilize receptors and permeabilize cellular and nuclear membranes.
Specifications
1229.31 g/mol
H2O: ~5 % (w/v) (solubilized by heating to 95 °C - 98 °C and then cooling to room temp.)
Safety Information
GHS06Danger
H301-H311-H330
P260-P280-P284-P310
Eyeshields, Faceshields, Gloves, type P2 (EN 143) respirator cartridges
230-240 °C (dec.)(lit.)
234-255-6
3
