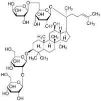
Ginsenoside Rb2

CAS Number11021-13-9
FormulaC53H90O22
Mol. Weight1079.27 g/mol
Ginsenoside Rb2
What is Ginsenoside Rb2?
Ginsenoside Rb2 is a chemical compound with CAS number 11021-13-9 and molecular formula C53H90O22. It is used in various industrial and research applications.
Specifications
Molecular Weight
1079.27 g/mol
Grade
analytical standard
Assay/Purity
≥95.0% (HPLC)
