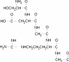
Ser-Asp-Gly-Arg-Gly

CAS Number108608-63-5
FormulaC17H30N8O9
Mol. Weight490.47 g/mol
Ser-Asp-Gly-Arg-Gly
What is Ser-Asp-Gly-Arg-Gly?
Ser-Asp-Gly-Arg-Gly is a chemical compound with CAS number 108608-63-5 and molecular formula C17H30N8O9. It is used in various industrial and research applications.
Specifications
Molecular Weight
490.47 g/mol
Assay/Purity
≥90% (HPLC)
