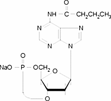
N6-Monobutyryl-2′-deoxyadenosine 3′:5′-cyclic monophosphate sodium salt

CAS Number108347-96-2
FormulaC14H17N5O6PNa
Mol. Weight405.28 g/mol
N6-Monobutyryl-2′-deoxyadenosine 3′:5′-cyclic monophosphate sodium salt
What is N6-Monobutyryl-2′-deoxyadenosine 3′:5′-cyclic monophosphate sodium salt?
N6-Monobutyryl-2′-deoxyadenosine 3′:5′-cyclic monophosphate sodium salt is a chemical compound with CAS number 108347-96-2 and molecular formula C14H17N5O6PNa. It is used in various industrial and research applications.
Specifications
Linear Formula
C14H17N5O6PNa
Molecular Weight
405.28 g/mol
