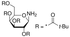
2,3,4,6-Tetra-O-pivaloyl-β-D-galactopyranosylamine

CAS Number108342-87-6
Formula4
Mol. Weight515.64 g/mol
2,3,4,6-Tetra-O-pivaloyl-β-D-galactopyranosylamine
What is 2,3,4,6-Tetra-O-pivaloyl-β-D-galactopyranosylamine?
2,3,4,6-Tetra-O-pivaloyl-β-D-galactopyranosylamine is a chemical compound with CAS number 108342-87-6 and molecular formula 4. It is used in various industrial and research applications.
Specifications
Molecular Weight
515.64 g/mol
Assay/Purity
99%
Safety Information
GHS07Signal Word
Warning
Hazard Statements
H315-H319-H335
Precautionary Statements
P261-P305 + P351 + P338
Required PPE
dust mask type N95 (US), Eyeshields, Gloves
Melting Point
92-95 °C(lit.)
WGK Germany
3
Frequently Asked Questions
Alternative Names & Synonyms
6-Tetra-O-pivaloyl-β-D-galactopyranosylamine,108342-87-6, C26H45NO9
