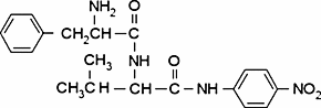
D-Phe-Val-p-nitroanilide

CAS Number108321-89-7
FormulaC20H24N4O4
Mol. Weight384.43 g/mol
D-Phe-Val-p-nitroanilide
What is D-Phe-Val-p-nitroanilide?
D-Phe-Val-p-nitroanilide is a chemical compound with CAS number 108321-89-7 and molecular formula C20H24N4O4. It is used in various industrial and research applications.
Specifications
Molecular Weight
384.43 g/mol
