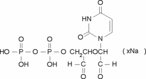
Uridine 5′-diphosphate, periodate oxidized sodium salt

CAS Number108321-56-8
FormulaN/A
Mol. Weight402.15 g/mol
Uridine 5′-diphosphate, periodate oxidized sodium salt
What is Uridine 5′-diphosphate, periodate oxidized sodium salt?
Uridine 5′-diphosphate, periodate oxidized sodium salt is a chemical compound with CAS number 108321-56-8. It is used in various industrial and research applications.
Specifications
Molecular Weight
402.15 g/mol
Assay/Purity
80-90%
Frequently Asked Questions
Alternative Names & Synonyms
C9H12N2O12P2
