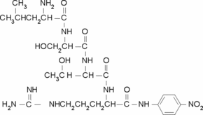
D-Leu-Ser-Thr-Arg p-nitroanilide

CAS Number108321-44-4
FormulaC25H41N9O8
Mol. Weight595.65 g/mol
D-Leu-Ser-Thr-Arg p-nitroanilide
What is D-Leu-Ser-Thr-Arg p-nitroanilide?
D-Leu-Ser-Thr-Arg p-nitroanilide is a chemical compound with CAS number 108321-44-4 and molecular formula C25H41N9O8. It is used in various industrial and research applications.
Specifications
Molecular Weight
595.65 g/mol
