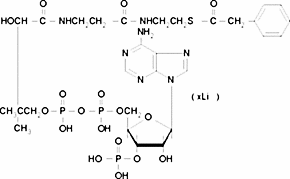
Phenylacetyl coenzyme A lithium salt

CAS Number108321-26-2
FormulaC29H42N7O17P3S
Mol. Weight885.67 g/mol
Phenylacetyl coenzyme A lithium salt
What is Phenylacetyl coenzyme A lithium salt?
Phenylacetyl coenzyme A lithium salt is a chemical compound with CAS number 108321-26-2 and molecular formula C29H42N7O17P3S. It is used in various industrial and research applications.
Applications
Coenzyme A functions as an acyl group carrier, acetyl-CoA. Phenylacetyl coenzyme A (Phenylacetyl-CoA) is used to study the mechanism of action of the TetR family transcriptional repressor PaaR. Phenylacetyl-CoA is used to study the phenylacetyl-CoA monooxygenase complex found in bacteria such as E. coli.
Specifications
Molecular Weight
885.67 g/mol
Assay/Purity
~95%
