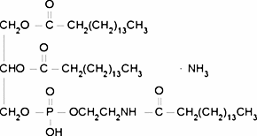
1,2-Dipalmitoyl-sn-glycero-3-phospho(N-palmitoyl)ethanolamine ammonium salt

CAS Number108321-22-8
FormulaN/A
Mol. Weight947.40 g/mol
1,2-Dipalmitoyl-sn-glycero-3-phospho(N-palmitoyl)ethanolamine ammonium salt
What is 1,2-Dipalmitoyl-sn-glycero-3-phospho(N-palmitoyl)ethanolamine ammonium salt?
1,2-Dipalmitoyl-sn-glycero-3-phospho(N-palmitoyl)ethanolamine ammonium salt is a chemical compound with CAS number 108321-22-8. It is used in various industrial and research applications.
Specifications
Linear Formula
C53H104NO9P · NH3
Molecular Weight
947.40 g/mol
Assay/Purity
~99%
Frequently Asked Questions
Alternative Names & Synonyms
C53H104NO9P · NH3
