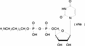
Uridine 5′-diphosphohexanolamine sodium salt

CAS Number108320-83-8
FormulaC15H26N3O12P2Na
Mol. Weight525.32 g/mol
Uridine 5′-diphosphohexanolamine sodium salt
What is Uridine 5′-diphosphohexanolamine sodium salt?
Uridine 5′-diphosphohexanolamine sodium salt is a chemical compound with CAS number 108320-83-8 and molecular formula C15H26N3O12P2Na. It is used in various industrial and research applications.
Specifications
Linear Formula
C15H26N3O12P2Na
Molecular Weight
525.32 g/mol
Assay/Purity
~95%
