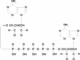
P1,P5-Di(adenosine-5′) pentaphosphate, periodate oxidized sodium salt

CAS Number107148-01-6
FormulaN/A
Mol. Weight912.34 (free acid basis) g/mol
P1,P5-Di(adenosine-5′) pentaphosphate, periodate oxidized sodium salt
What is P1,P5-Di(adenosine-5′) pentaphosphate, periodate oxidized sodium salt?
P1,P5-Di(adenosine-5′) pentaphosphate, periodate oxidized sodium salt is a chemical compound with CAS number 107148-01-6. It is used in various industrial and research applications.
Specifications
Molecular Weight
912.34 (free acid basis) g/mol
Assay/Purity
≥90%
Frequently Asked Questions
Alternative Names & Synonyms
107148-01-6, C20H25N10O22P5 · xNa+
