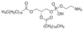
1,2-Distearoyl-sn-glycero-3-phosphoethanolamine

CAS Number1069-79-0
FormulaN/A
Mol. Weight748.07 g/mol
1,2-Distearoyl-sn-glycero-3-phosphoethanolamine
What is 1,2-Distearoyl-sn-glycero-3-phosphoethanolamine?
1,2-Distearoyl-sn-glycero-3-phosphoethanolamine is a chemical compound with CAS number 1069-79-0. It is used in various industrial and research applications.
Specifications
Molecular Weight
748.07 g/mol
Assay/Purity
≥99%
Frequently Asked Questions
Alternative Names & Synonyms
C41H82NO8P
