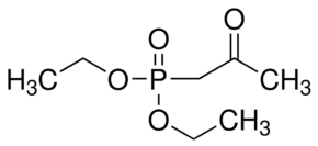
Diethyl (2-oxopropyl)phosphonate

CAS Number1067-71-6
FormulaN/A
Mol. Weight194.17 g/mol
Diethyl (2-oxopropyl)phosphonate
What is Diethyl (2-oxopropyl)phosphonate?
Diethyl (2-oxopropyl)phosphonate is a chemical compound with CAS number 1067-71-6. It is used in various industrial and research applications.
Specifications
Linear Formula
CH3COCH2P(O)(OC2H5)2
Molecular Weight
194.17 g/mol
Assay/Purity
96%
Boiling Point
126 °C/9 mmHg(lit.)
Density
1.01 g/mL at 25 °C(lit.)
