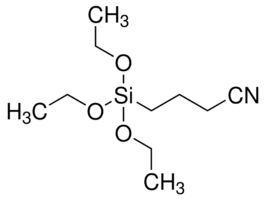
3-Cyanopropyltriethoxysilane

CAS Number1067-47-6
FormulaN/A
Mol. Weight231.36 g/mol
3-Cyanopropyltriethoxysilane
What is 3-Cyanopropyltriethoxysilane?
3-Cyanopropyltriethoxysilane is a chemical compound with CAS number 1067-47-6. It is used in various industrial and research applications.
Specifications
Linear Formula
(C2H5O)3Si(CH2)3CN
Molecular Weight
231.36 g/mol
Assay/Purity
98%
Boiling Point
100-101 °C/6 mmHg(lit.)
Density
0.966 g/mL at 25 °C(lit.)
