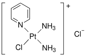
cDPCP

CAS Number106343-54-8
FormulaC5H11Cl2N3Pt
Mol. Weight379.14 g/mol
cDPCP
What is cDPCP?
cDPCP is a chemical compound with CAS number 106343-54-8 and molecular formula C5H11Cl2N3Pt. It is used in various industrial and research applications.
Specifications
Molecular Weight
379.14 g/mol
Assay/Purity
≥98% (HPLC)
Solubility
H2O: >10 mg/mL
Safety Information
GHS07
GHS08Signal Word
Danger
Hazard Statements
H302-H315-H317-H319-H334-H335
Precautionary Statements
P261-P280-P305 + P351 + P338-P342 + P311
Required PPE
dust mask type N95 (US), Eyeshields, Faceshields, Gloves
WGK Germany
1
