(±)-β-Citronellol

CAS Number106-22-9
FormulaN/A
Mol. Weight156.27 g/mol
(±)-β-Citronellol
What is (±)-β-Citronellol?
(±)-β-Citronellol is a chemical compound with CAS number 106-22-9. It is used in various industrial and research applications.
Specifications
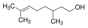
Linear Formula
(CH3)2C=CHCH2CH2CH(CH3)CH2CH2OH
Molecular Weight
156.27 g/mol
Grade
analytical standard
Assay/Purity
≥99.0% (GC)
Boiling Point
222 °C(lit.)
Density
0.857 g/mL at 25 °C(lit.)
Safety Information
GHS07Signal Word
Warning
Hazard Statements
H315-H317-H319
Precautionary Statements
P280-P305 + P351 + P338
Required PPE
Eyeshields, full-face respirator (US), Gloves, multi-purpose combination respirator cartridge (US), type ABEK (EN14387) respirator filter
EC Number
203-375-0
WGK Germany
1
