Val-Pro hydrochloride

CAS Number105931-64-4
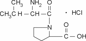
FormulaC10H18N2O3 · HCl
Mol. Weight250.72 g/mol
Val-Pro hydrochloride
What is Val-Pro hydrochloride?
Val-Pro hydrochloride is a chemical compound with CAS number 105931-64-4 and molecular formula C10H18N2O3 · HCl. It is used in various industrial and research applications.
Specifications
Molecular Weight
250.72 g/mol
