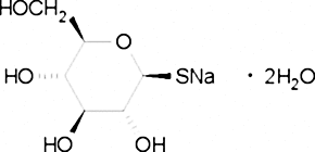
1-Thio-β-D-glucose sodium salt

CAS Number10593-29-0
FormulaC6H11O5SNa
Mol. Weight218.20 g/mol
1-Thio-β-D-glucose sodium salt
What is 1-Thio-β-D-glucose sodium salt?
1-Thio-β-D-glucose sodium salt is a chemical compound with CAS number 10593-29-0 and molecular formula C6H11O5SNa. It is used in various industrial and research applications.
Specifications
Linear Formula
C6H11O5SNa
Molecular Weight
218.20 g/mol
