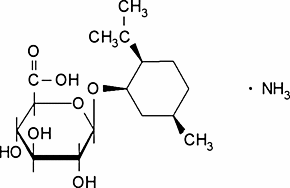
Mentholglucuronic acid ammonium salt

CAS Number104874-25-1
FormulaC16H28O7 · NH3
Mol. Weight349.42 g/mol
Mentholglucuronic acid ammonium salt
What is Mentholglucuronic acid ammonium salt?
Mentholglucuronic acid ammonium salt is a chemical compound with CAS number 104874-25-1 and molecular formula C16H28O7 · NH3. It is used in various industrial and research applications.
Specifications
Linear Formula
C16H28O7 · NH3
Molecular Weight
349.42 g/mol
