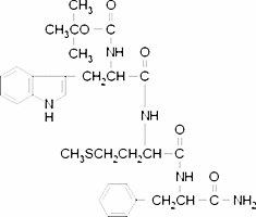
Boc-Trp-Met-Phe amide

CAS Number104180-24-7
FormulaC30H39N5O5S
Mol. Weight581.73 g/mol
Boc-Trp-Met-Phe amide
What is Boc-Trp-Met-Phe amide?
Boc-Trp-Met-Phe amide is a chemical compound with CAS number 104180-24-7 and molecular formula C30H39N5O5S. It is used in various industrial and research applications.
Specifications
Molecular Weight
581.73 g/mol
Assay/Purity
≥97% (TLC)
