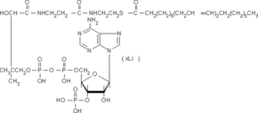
Linoleoyl coenzyme A lithium salt

CAS Number103476-22-8
FormulaC39H66N7O17P3S
Mol. Weight1029.96 g/mol
Linoleoyl coenzyme A lithium salt
What is Linoleoyl coenzyme A lithium salt?
Linoleoyl coenzyme A lithium salt is a chemical compound with CAS number 103476-22-8 and molecular formula C39H66N7O17P3S. It is used in various industrial and research applications.
Specifications
Molecular Weight
1029.96 g/mol
Assay/Purity
≥85%
