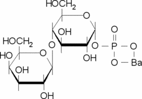
α-Lactose 1-phosphate barium salt

CAS Number103404-65-5
FormulaC12H21O14PBa
Mol. Weight557.59 g/mol
α-Lactose 1-phosphate barium salt
What is α-Lactose 1-phosphate barium salt?
α-Lactose 1-phosphate barium salt is a chemical compound with CAS number 103404-65-5 and molecular formula C12H21O14PBa. It is used in various industrial and research applications.
Specifications
Linear Formula
C12H21O14PBa
Molecular Weight
557.59 g/mol
Safety Information
GHS07Signal Word
Warning
Hazard Statements
H302-H312-H332
Precautionary Statements
P280
Required PPE
dust mask type N95 (US), Eyeshields, Gloves
WGK Germany
3
