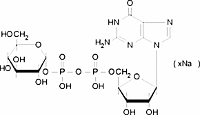
Guanosine 5′-diphosphoglucose sodium salt

CAS Number103301-72-0
FormulaC16H25N5O16P2
Mol. Weight605.34 g/mol
Guanosine 5′-diphosphoglucose sodium salt
What is Guanosine 5′-diphosphoglucose sodium salt?
Guanosine 5′-diphosphoglucose sodium salt is a chemical compound with CAS number 103301-72-0 and molecular formula C16H25N5O16P2. It is used in various industrial and research applications.
Applications
Guanosine 5′-diphosphoglucose (GDP-Glucose) is a nucleotide sugar donor substrate for glucosylation reactions mediated by enzymes called glucosyltransferases. GDP-Glucose provides a source of enzyme-available glucose residues for attachment to a wide range of polysaccharide structures.
Specifications
Molecular Weight
605.34 g/mol
Safety Information
GHS07Signal Word
Warning
Hazard Statements
H315-H319-H335
Precautionary Statements
P261-P305 + P351 + P338
Required PPE
dust mask type N95 (US), Eyeshields, Gloves
WGK Germany
3
