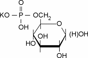
D-Glucose 6-phosphate potassium salt

CAS Number103192-55-8
FormulaC6H12O9PK
Mol. Weight298.23 g/mol
D-Glucose 6-phosphate potassium salt
What is D-Glucose 6-phosphate potassium salt?
D-Glucose 6-phosphate potassium salt is a chemical compound with CAS number 103192-55-8 and molecular formula C6H12O9PK. It is used in various industrial and research applications.
Applications
Treatment of rat pancreatic islets with the glucose metabolite D-glucose 6-phosphate elevates the level of ATP-dependent Ca2+ within the endoplasmic reticulum indicating it is a key regulator of Ca2+ storage in the islets. 1
Specifications
Linear Formula
C6H12O9PK
Molecular Weight
298.23 g/mol
Assay/Purity
≥95%
