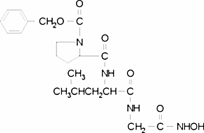
Z-Pro-Leu-Gly hydroxamate

CAS Number103145-74-0
FormulaC21H30N4O6
Mol. Weight434.49 g/mol
Z-Pro-Leu-Gly hydroxamate
What is Z-Pro-Leu-Gly hydroxamate?
Z-Pro-Leu-Gly hydroxamate is a chemical compound with CAS number 103145-74-0 and molecular formula C21H30N4O6. It is used in various industrial and research applications.
Specifications
Molecular Weight
434.49 g/mol
Assay/Purity
≥97% (TLC)
Solubility
acetic acid: water (1:1): soluble50 mg/mL
methanol: soluble50 mg/mL
