2′-Deoxyuridine 5′-triphosphate sodium salt

2′-Deoxyuridine 5′-triphosphate sodium salt
What is 2′-Deoxyuridine 5′-triphosphate sodium salt?
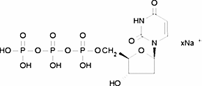
2′-Deoxyuridine 5′-triphosphate sodium salt is a chemical compound with CAS number 102814-08-4 and molecular formula C9H15N2O14P3 · xNa+. It is used in various industrial and research applications.
Applications
2′-Deoxyuridine 5′-triphosphate (dUTP) may be used to study the distribution, specificity and kinetics of deoxyuridine 5′-triphosphate nucleotidohydrolase(s) (dUTPase, EC 3.6.1.23). dUTPase are important enzymes that protect cells from the incorporation of dUTP into DNA.dUTP is a component of the TUNEL (terminal deoxyribonucleotidyl-tran
Specifications
468.14 (free acid basis) g/mol
≥95%
