Angiotensinogen Fragment 11-14

CAS Number102813-98-9
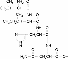
FormulaC21H35N7O6
Mol. Weight481.55 g/mol
Angiotensinogen Fragment 11-14
What is Angiotensinogen Fragment 11-14?
Angiotensinogen Fragment 11-14 is a chemical compound with CAS number 102813-98-9 and molecular formula C21H35N7O6. It is used in various industrial and research applications.
Specifications
Molecular Weight
481.55 g/mol
Assay/Purity
≥97% (HPLC)
