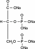
2,3-Diphospho-D-glyceric acid pentasodium salt

CAS Number102783-53-9
FormulaN/A
Mol. Weight375.95 g/mol
2,3-Diphospho-D-glyceric acid pentasodium salt
What is 2,3-Diphospho-D-glyceric acid pentasodium salt?
2,3-Diphospho-D-glyceric acid pentasodium salt is a chemical compound with CAS number 102783-53-9. It is used in various industrial and research applications.
Applications
D-Glycerate 2,3-diphosphate, cofactor of both phosphoglyceric acid mutase and hemoglobin, may be used as a reference compound in analysis of blood cell (erythrocyte) glycolysic cycle metabolites.
Specifications
Linear Formula
C3H3O10P2Na5
Molecular Weight
375.95 g/mol
Impurities
3-phosphoglyceric acid, essentially free
Frequently Asked Questions
Alternative Names & Synonyms
C3H3O10P2Na5
