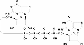
P1,P4-Di(guanosine-5′) tetraphosphate ammonium salt

CAS Number102783-33-5
FormulaN/A
Mol. Weight868.39 g/mol
P1,P4-Di(guanosine-5′) tetraphosphate ammonium salt
What is P1,P4-Di(guanosine-5′) tetraphosphate ammonium salt?
P1,P4-Di(guanosine-5′) tetraphosphate ammonium salt is a chemical compound with CAS number 102783-33-5. It is used in various industrial and research applications.
Applications
P1,P4-Di(guanosine-5′) tetraphosphate (Diguanosine tetraphosphate) (GP4G) is a dinucleoside polyphosphate which may be used to study potential pathological effects of dinucleoside polyphosphtes in vivo. GP4G is an acceptor molecule for cytidine-3′, 5′-bisphosphate from the adenylylated donor 5′-adenylylated cytidine 5′,3′-bisphosphate in the T4 RNA ligase catalyzed reactions. GP4G is a used as an inhibitor of DNA apurinic/apyrimidinic endonuclease (APE1).
Specifications
Molecular Weight
868.39 g/mol
Assay/Purity
~95% (HPLC)
Frequently Asked Questions
Alternative Names & Synonyms
C20H28N10O21P4
