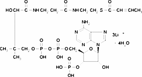
2-Butenoyl coenzyme A lithium salt

CAS Number102680-35-3
FormulaC25H40N7O17P3S
Mol. Weight835.61 g/mol
2-Butenoyl coenzyme A lithium salt
What is 2-Butenoyl coenzyme A lithium salt?
2-Butenoyl coenzyme A lithium salt is a chemical compound with CAS number 102680-35-3 and molecular formula C25H40N7O17P3S. It is used in various industrial and research applications.
Applications
Crotonoyl coenzyme A (2-Butenoyl coenzyme A) may be used as a substrate of enzymes such as Plasmodium falciparum enoyl-ACP reductase and other enoyl-CoA reductases. Crotonoyl –CoA may be used as a substrate analogue for kinetic studies on β-hydroxyacyl-acyl carrier protein (ACP) dehydratase (FabZ).
Specifications
Molecular Weight
835.61 g/mol
Assay/Purity
≥90% (HPLC)
