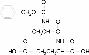
Z-Ala-Glu

CAS Number102601-36-5
FormulaC16H20N2O7
Mol. Weight352.34 g/mol
Z-Ala-Glu
What is Z-Ala-Glu?
Z-Ala-Glu is a chemical compound with CAS number 102601-36-5 and molecular formula C16H20N2O7. It is used in various industrial and research applications.
Specifications
Molecular Weight
352.34 g/mol
