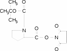
Boc-D-Pro-OSu

CAS Number102185-34-2
FormulaC14H20N2O6
Mol. Weight312.32 g/mol
Boc-D-Pro-OSu
What is Boc-D-Pro-OSu?
Boc-D-Pro-OSu is a chemical compound with CAS number 102185-34-2 and molecular formula C14H20N2O6. It is used in various industrial and research applications.
Specifications
Molecular Weight
312.32 g/mol
