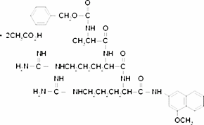
Z-Ala-Arg-Arg 4-methoxy-β-naphthylamide acetate salt

CAS Number102047-33-6
FormulaC34H46N10O6
Mol. Weight690.79 g/mol
Z-Ala-Arg-Arg 4-methoxy-β-naphthylamide acetate salt
What is Z-Ala-Arg-Arg 4-methoxy-β-naphthylamide acetate salt?
Z-Ala-Arg-Arg 4-methoxy-β-naphthylamide acetate salt is a chemical compound with CAS number 102047-33-6 and molecular formula C34H46N10O6. It is used in various industrial and research applications.
Specifications
Molecular Weight
690.79 g/mol
Safety Information
GHS08Signal Word
Warning
Hazard Statements
H351
Precautionary Statements
P281
Required PPE
Eyeshields, full-face particle respirator type N100 (US), Gloves, respirator cartridge type N100 (US), type P1 (EN143) respirator filter, type P3 (EN 143) respirator cartridges
WGK Germany
3
